Home
Entertainment
Roblox
Sports
Tech
Jobs
LifeStyle
How to
Web Stories
Home
Class 10
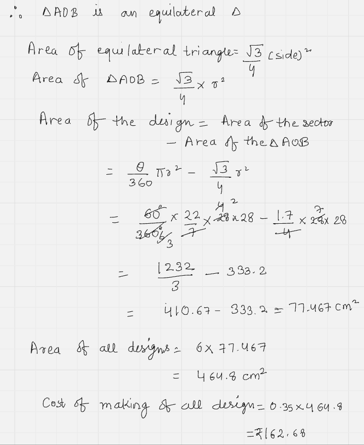
Class 10 Ex 11.1 Question 13 (Areas Related To Circles) | Ncert
Facebook
Twitter
Post a Comment
Previous Post
Next Post
Ads
Ad
Ok
Contact form